Номер 281 - ГДЗ Алгебра 7 класс. Мерзляк, Полонский. Учебник. Страница 56

Вернуться к содержанию учебника

Страница 56

278 279 280 281 282 283 284

Вопрос

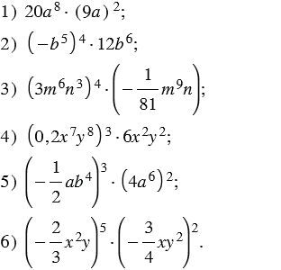
Упростите выражение:

Подсказка

Ответ


Вернуться к содержанию учебника