Вернуться к содержанию учебника
Страница 100
544 545 546 547 548 549 550 551 552 553 554
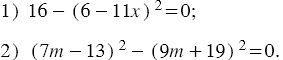
Решите уравнение:
Вспомните: