Вернуться к содержанию учебника
Страница 119
672 673 674 675 676 677 678 679 680 681 682
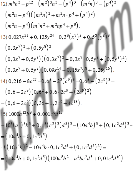
Разложите на множители:
Вспомните: