Номер 939 - ГДЗ Алгебра 7 класс. Мерзляк, Полонский. Учебник. Страница 185

Вернуться к содержанию учебника

Страница 185

936 937 938 939 940 941 942

Вопрос

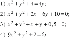
Решите уравнение:

Подсказка

Ответ


Вернуться к содержанию учебника