Номер 959 - ГДЗ Алгебра 7 класс. Мерзляк, Полонский. Учебник. Страница 190

Вернуться к содержанию учебника

Страница 190

956 957 958 959 960 961 962

Вопрос

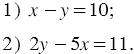
Найдите какие-нибудь три решения уравнения:

Подсказка

Вспомните:

  1. Какое равенство называется уравнением с двумя переменными.
  2. Какое уравнение с двумя переменными называют линейным.
  3. Что является решением уравнения с двумя переменными.
  4. Свойства уравнений с двумя переменными.
  5. Сложение, вычитание и умножение рациональных чисел.

Ответ


Вернуться к содержанию учебника