Номер 1147 - ГДЗ Алгебра 7 класс. Мерзляк, Полонский. Учебник. Страница 227

Вернуться к содержанию учебника

Страница 227

1144 1145 1146 1147 1148 1149 1150

Вопрос

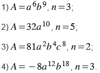
Представьте данный одночлен А в виде Вn, где В - некоторый одночлен, если:

Подсказка

Вспомните:

  1. Какие выражения называют одночленами.
  2. Степень с натуральным показателем.
  3. Свойства степени с натуральным показателем.
  4. Четные и нечетные числа.

Ответ


Вернуться к содержанию учебника