Номер 571 - ГДЗ Алгебра 8 класс. Мерзляк, Полонский. Учебник. Страница 143

Вернуться к содержанию учебника

Упражнения §17. Страница 143

568 569 570 571 572 573 574

Вопрос

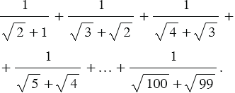
Упростите выражение:

Подсказка

Ответ


Вернуться к содержанию учебника