Номер 836 - ГДЗ Алгебра 8 класс. Мерзляк, Полонский. Учебник. Страница 203

Вернуться к содержанию учебника

Упражнения §24. Страница 203

833 834 835 836 837 838 1

Вопрос

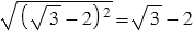
Какое равенство верно:  или  Ответ обоснуйте.

Подсказка

Ответ


Вернуться к содержанию учебника