Номер 4 - ГДЗ Алгебра 8 класс. Мерзляк, Полонский. Учебник. Страница 211

Вернуться к содержанию учебника

Задание №6 "Проверь себя". Страница 211

1 2 3 4 5 6 7

Вопрос

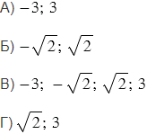
Решите уравнение

Подсказка

Вспомните:

  1. Что такое уравнение.
  2. Что называют корнем уравнения.
  3. Какое уравнение называют квадратным.
  4. Что называют дискриминантом квадратного уравнения.
  5. Теорему, обратную теореме Виета.
  6. Какое уравнение называют биквадратным.
  7. Решение биквадратных уравнений методом замены переменной.
  8. Что такое квадратный корень.
  9. Что называют арифметическим квадратным корнем числа.
  10. Что такое степень числа.
  11. Что такое квадрат числа.
  12. Сложение, вычитание, умножение и деление рациональных чисел.

Ответ

1 2 3 4 5 6 7


Вернуться к содержанию учебника