Вернуться к содержанию учебника
Выберите год учебника
№2.472 учебника 2023-2024 (стр. 107):
Найдите длину столба, если его наземная часть равна
м, а в землю врыто
его длины.
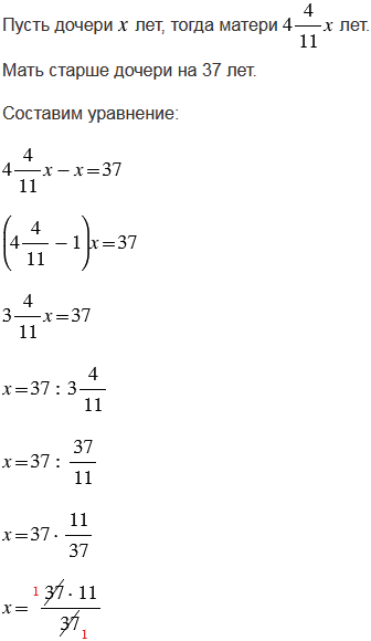
№2.472 учебника 2021-2022 (стр. 102):
Мать старше дочери в
раза, или на 37 лет. Сколько лет каждой из них?
№2.472 учебника 2023-2024 (стр. 107):
№2.472 учебника 2021-2022 (стр. 102):
Вспомните:
№2.472 учебника 2023-2024 (стр. 107):


Чтобы найти частное смешанных чисел, нужно записать эти числа в виде неправильных дробей, а затем воспользоваться правилом деления дробей.
Чтобы найти частное двух дробей, надо делимое умножить на число, обратное делителю.
Взаимно обратными числами называют два числа, произведение которых равно 1.
Чтобы найти произведение двух дробей, можно:
1) перемножить их числители и перемножить их знаменатели;
2) первое произведение записать числителем, а второе - знаменателем.
№2.472 учебника 2021-2022 (стр. 102):





Вернуться к содержанию учебника