Номер 626 - ГДЗ Алгебра 7 класс. Мерзляк, Полонский. Учебник. Страница 111

Вернуться к содержанию учебника

Страница 111

623 624 625 626 627 628 629

Вопрос

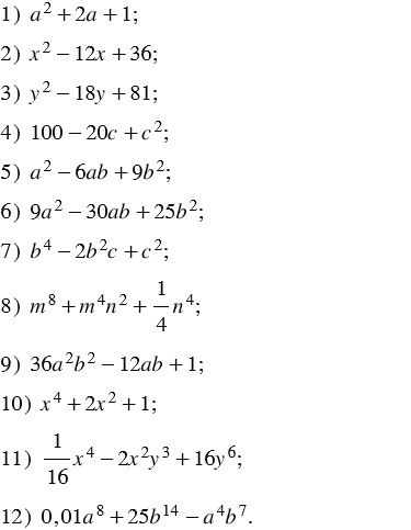
Представьте многочлен в виде квадрата суммы или квадрата разности двух выражений:

Подсказка

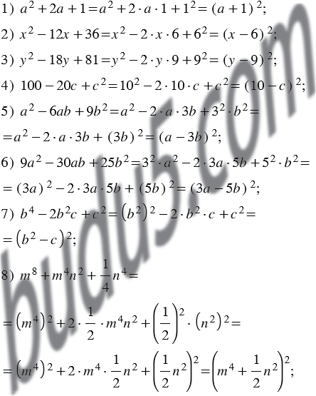
Ответ


Вернуться к содержанию учебника