Номер 631 - ГДЗ Алгебра 7 класс. Мерзляк, Полонский. Учебник. Страница 112

Вернуться к содержанию учебника

Страница 112

628 629 630 631 632 633 634

Вопрос

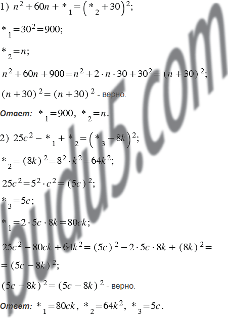
Замените звёздочки такими одночленами, чтобы выполнялось тождество:

Подсказка

Ответ


Вернуться к содержанию учебника